中科院考研网

文章
  • 文章
  • 产品
  • 商铺
  • 论坛
  • 视频
搜索
首页信息 >> 复录名单 >>录取名单 >>2023年录取名单 >> 中科院兰州化物所2023年拟录取硕士研究生公示
详细内容

中科院兰州化物所2023年拟录取硕士研究生公示

中科院兰州化物所2023年拟录取硕士研究生公示

2023-04-23 | 【大 中 】【打印】【关闭】                

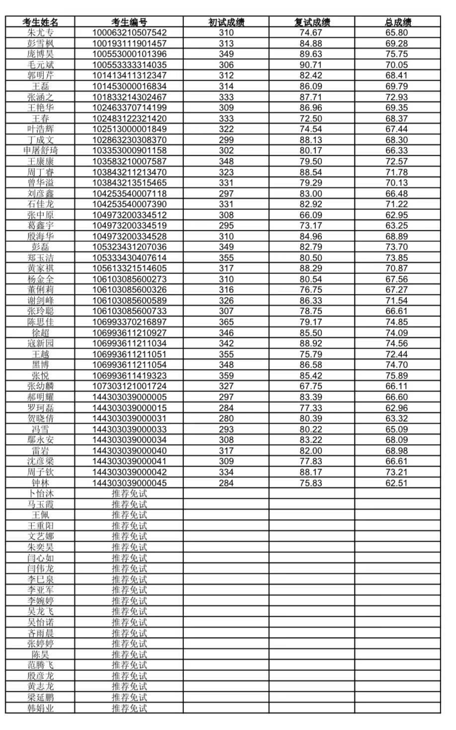
  研究所拟录取2023级硕士研究生共64名,现将名单公示如下:

  

  说明:如发现考生本人材料虚假、严重违法违纪等情况,本所有权取消其录取资格。

  公示期:2023年4月23日-2023年5月9日

  监督电话:0931-4968201、4968114

  

  人事教育处

  2023年4月23日


最新评论
请先登录才能进行回复登录
中科院考研微信公众号
中科院考研Q群
科院考研店铺
官方微博
北中科bilibili
本站已支持IPv6
seo seo